儀器所屬分類:聽漏儀 => 電工類儀器儀表 => 電纜測試/識別儀 => 管線定位儀 => 管線探測儀 => 管道及防腐層檢測
俄羅斯泰克諾AC’TECHNO-AC’
龐羽梁儀器儀表(上海)有限公司是俄羅斯品牌TECHNO-AC的中國總代理商
俄羅斯泰克諾AC’TECHNO-AC’電纜故障定位儀 TDR-TA1.9 產品簡介:
產品型號:TDR-TA1.9
產品品牌:泰克諾AC’TECHNO-AC’
產品類別:電纜測試/識別儀
產品備注:電纜故障定位儀
俄羅斯泰克諾AC’TECHNO-AC’電纜故障定位儀 TDR-TA1.9 產品概述:
TDR-TA1.9 是一款高精度 3 通道數字反射計,用于確定電力電纜線路中各種故障的距離:開路、短路、套管、電纜接頭、平行分支、濕電纜、高阻故障、間歇性故障等。
時域反射計 (TDR) – 最準確和安全 – 可有效診斷低電阻率電纜故障、搜索開路和短路。
時域反射計 (TDR) 是一種利用雷達原理的電纜設備。短探測脈沖提供給電纜線路。信號沿電纜傳播并在電纜阻抗異質性處部分或完全反射,最后返回到設備的輸入端。處理完接收到的信號后,設備會在屏幕上以公制系統顯示結果(波形特征)。
阻抗的異質性是由于電纜生產技術違規以及線路建設和維護過程中的機械和電氣缺陷造成的。異質性通常出現在其他設備與線路的連接點(耦合、分接頭、拼接電纜、線圈Pupin 等)或故障位置(開路、短路、電纜芯線浸漬、電流泄漏到接地、相鄰電線泄漏、蒸汽破裂等)。時域反射計 (TDR) 方法允許修復多個離散和多個不均勻性,具體取決于它們的長度和脈沖寬度的比率。
ARM(電弧反射法):
當使用低壓 TDR 方法時,定位具有高瞬態電阻 (R>10 kOhm) 的電纜故障通常很困難。定位電力電纜中此類缺陷的方法之一是電弧反射法 (ARM)。
ARM 方法的實現是通過附加設備進行的:高壓脈沖發生器 (HVPG) 和特殊連接裝置(作為外部單元或內部 HVPG 單元)。
ARM方法的本質是為故障點的短時間(幾毫秒)發生電弧(擊穿)創造條件(使用HPVG)。與燃燒電弧同步(從 HPVG 獲得的同步信號)反射計執行傳感。TDR 的探測脈沖由極性反轉的低電阻電弧反射(如短路波形)。該方法不需要預先隔離燃燒,在聚乙烯護套上工作時特別有效。
振蕩放電方法:
振蕩放電方法:脈沖電流 (ICM) 和衰減方法基于由于帶電電纜擊穿而發生的振蕩過程周期測量。
有兩種方法可以在電纜中產生振蕩過程:電壓波(衰減法)或電流波產生(ICM 法)。
為了產生電流/電壓波,高壓脈沖發生器 (HVPG) 將電纜中的電壓升高到發生擊穿或將內部電容器放電到電纜的時刻。
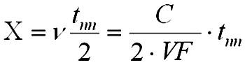
絕緣的缺陷導致在損傷點處產生擊穿,具有很小的電阻,并進行振蕩放電。知道電磁波沿電纜傳播的速度和振蕩過程的周期,我們可以計算到擊穿的距離:

式中 X——故障距離,m;v——電磁波在電纜中的傳播速度,m/ms;tnn——半周期振蕩過程,ms,c——光速,等于300m/ms;VF – 速度因子的值。為了達到最佳精度,只選擇第二個振蕩周期。
振蕩放電方法的實施是通過使用附加設備進行的:高壓脈沖發生器 (HVPG) 和特殊連接裝置。
TDR-TA1.9 提供以下測量方法:
時域反射計 (TDR)
弧光反射
振蕩放電(ICM,衰減)
俄羅斯泰克諾AC’TECHNO-AC’電纜故障定位儀 TDR-TA1.9 產品特征:
應用最現代的診斷和電纜故障預定位方法的可能性:TDR 法、電弧反射法 (ARM)、電壓波 (Decay)、電流波 (ICM) 法;
3 個線路輸入連接到三相電纜;
在分辨率為 640×480 像素的彩色 5.7″ TFT-LCD 上顯示波形;
能夠以所有組合(6 個波形)顯示所有測量通道;
非易失性存儲器 – 至少 1000 個波形,最多 6 個用于比較;
減法模式僅顯示波形差異;
最大射程 – 128 公里;
以增加的脈沖幅度(U2 = 86 V 開路)進行感應的可能性,以在高衰減電纜上工作;
實時測量;
兩個光標測量系統;
可以詳細查看反射圖的任何部分 – 多重縮放功能;
異步噪聲抑制;
間歇性故障模式檢測——“捕獲”功能;
內置速度系數表多達 300 個值;
外置U盤存檔波形庫和VOP庫,以及從U盤恢復庫到設備內存;
具有高機械強度的防濺和密封封閉體(防護等級 IP67)。
俄羅斯泰克諾AC’TECHNO-AC’電纜故障定位儀 TDR-TA1.9 產品應用:
Pulse TDR TDR-TA1.9 用于在安裝或操作以下類型的電纜線路時進行控制:
電力電纜;
架空電纜線;
系統電纜通訊;
信號和控制電纜;
計算機網絡;
電視和無線電電纜線;
確定電纜在制造、儲存和貿易過程中的長度。
俄羅斯泰克諾AC’TECHNO-AC’電纜故障定位儀 TDR-TA1.9 產品參數:
| 規格 | |
| 測量模式 | 時域反射計?(TDR) |
| 弧反射法?(ARM) | |
| 脈沖電流法?(ICM) | |
| 電壓衰減法(Decay) | |
| 單色液晶顯示器 | 彩色?TFT 5.7"(640×480?像素) |
| 量程測量距離(延遲時間) | 從?0?到?128000 m(0?到?1280 μs) |
| 距離子帶 | 0 – 62.5 m、0 – 125 m、0 – 250 m、0 – 500 m;0 – 1000 m、0 – 2000 m、0 – 4000 m、0 – 8000 m、0 – 16000 m、0 – 32000 m、0 – 64000 m、0 – 128,000 m |
| 距離儀器誤差 | 從子帶的?0.01%?到?0.2%(從?12.5 cm?到?8 m,VOP = 60%) |
| 有效采樣率 | 800兆赫 |
| 范圍協調阻力 | 從?20 Ω?到?600 Ω |
| 探頭脈沖持續時間 | 從?10 ns?到?100 μs |
| 探測脈沖的幅度 | U1 –?不低于?18 V |
| U2 –?不低于?86 V | |
| 靈敏度 | 優于?1 mV |
| 動態范圍 | 不低于?80?分貝 |
| 速度系數的設定范圍 | VOP = 33.3% … 99.9%(步長?0.01%) |
| 延時調節范圍(ARM) | 從?0?到?50 ms(步長?0.2 ms) |
| 同步?(ARM) | TDR?輸入 |
| 觸發輸入 | |
| 記憶 | 多達?1000?個波形的波形庫 |
| 電纜庫多達?300?根電纜 | |
| 特殊模式 | 減法模式只顯示差異; |
| 與設備內存中的跟蹤進行比較模式; | |
| 通過USB閃存進行PC數據交換; | |
| 拍攝模式 | |
| 連續電池工作時間 | 至少?8?小時 |
| 通過充電器連續工作時間 | 無限 |
| 方面 | 70x246x124?毫米 |
| 工作溫度范圍 | 從?-20 °C?到?+40 °C |
| 帶電池重量 | 不超過?2.5?公斤 |
TDR-TA1.9, TECHNO-AC, 俄羅斯泰克諾AC, 泰克諾AC, 電纜故障定位儀
![]() |
|